Ratings & Reviews performance provides an overview of what users think of your app. Here are the key metrics to help you identify how your app is rated by users and how successful is your review management strategy.
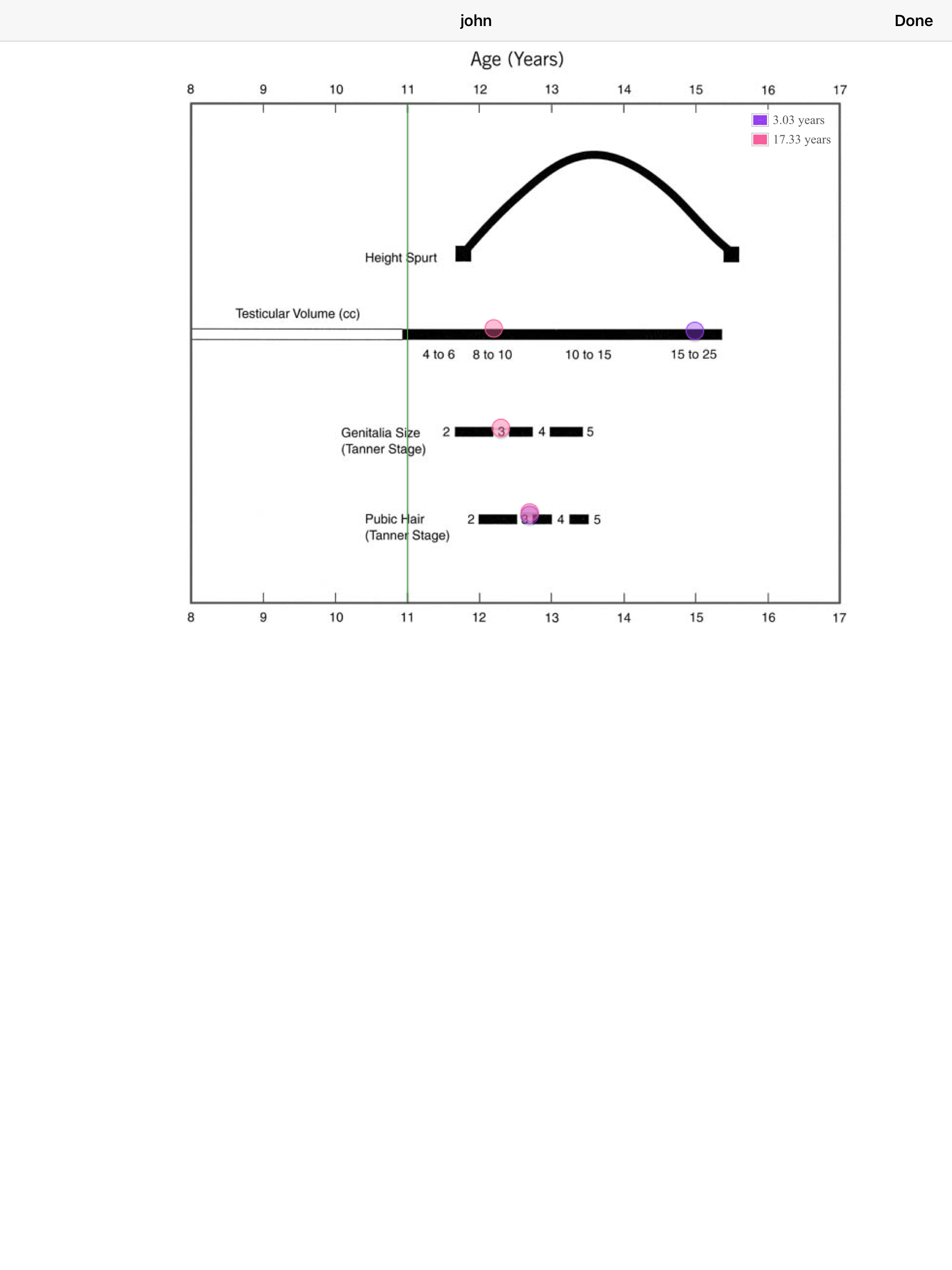
The human sexual maturation could be described as a sequence of physical morphological changes related to primary and secondary sex characteristics. In an effort to quantify these changes, back in 1969, Marshall and Tanner suggested the scale of sexual development which became known as scale Tanner. This application provides a simple and convenient way of using the Tanner scale and a basic medical record system for storing data about the Tanner Stages of your patients in different dates, ages. Features: Standard Tanner stages black and white photos (providing maximum sensitivity in diagnosis). Detailed description for the Tanner stages, assisting diagnosis. Additional information about each Tanner stage. Multiple language selection (English, German, Swedish, Greek, Chinese). Easy to use interface. Easy navigation system. Electronic Medical Record providing: Patient data (name, surname, date of birth, SSN). Capturing and storing patient black and white or color photos. Automatic calculation of patient's age at the examination date and even current age. Storing of menstruation start age. Patient visit creation based on date of visit or patient age. Choose Tanner stage through a special standard image selector. Capture and store patient photos (at every visit) using black and white filter allowing better recognition of trichosis. Create a graph matching patients age and Tanner stage, monitoring progression. Easy navigation and retrieval of patient info. Backup system. A valuable tool for every pediatrician, endocrinologist, nurse and paramedical staff working with children and adolescents.










