Ratings & Reviews performance provides an overview of what users think of your app. Here are the key metrics to help you identify how your app is rated by users and how successful is your review management strategy.
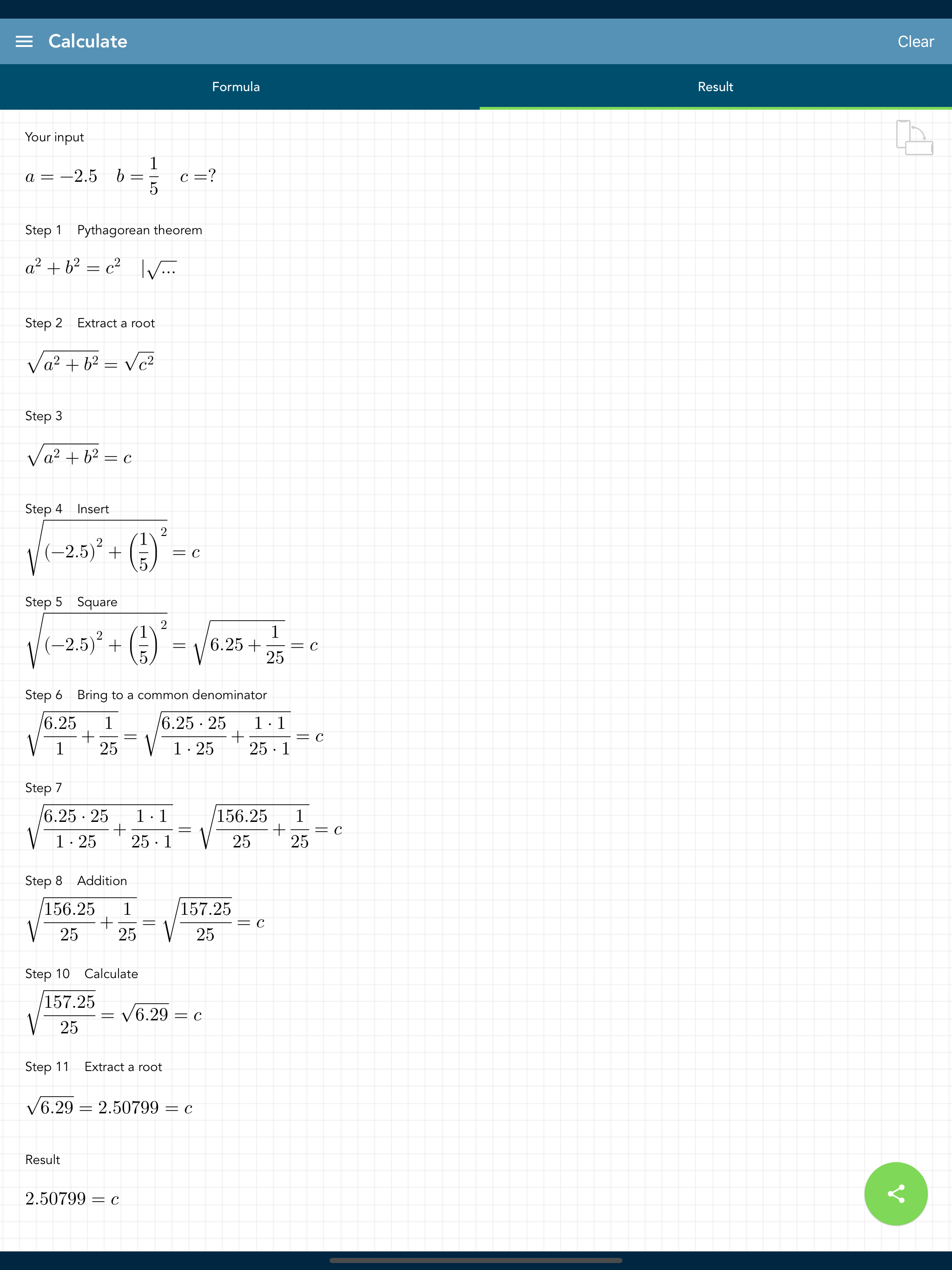
The calculation of a right-angled triangle is no longer a problem. All edges are calculated with the Pythagorean theorem. If you enter the value of two edges, the third is calculated. All calculations are stored in a history. The final solution can be shared. [Contents] - the edges a, b and c can be entered - calculation of the third edge with the Pythagorean theorem - history function that saves the input - complete solution - the entering of fractions is supported - option to remove ads [ Application ] - there are 3 fields for entering the values using a modified keyboard - if you have not entered enough values, the text fields are highlighted in yellow - if you have entered invalid values, the corresponding text field is highlighted in red - you can switch between the solution view, the input view and the history by swiping and / or touching the buttons - the entries in the history can be deleted or sorted manually - if you select an entry in the history, it will be loaded automatically for the calculation - the entire history can be deleted by pressing a key
