Ratings & Reviews performance provides an overview of what users think of your app. Here are the key metrics to help you identify how your app is rated by users and how successful is your review management strategy.
User reviews affect conversion to installs and app rating. Featured and helpful reviews are the first to be noticed by users and in case of no response can affect download rate.
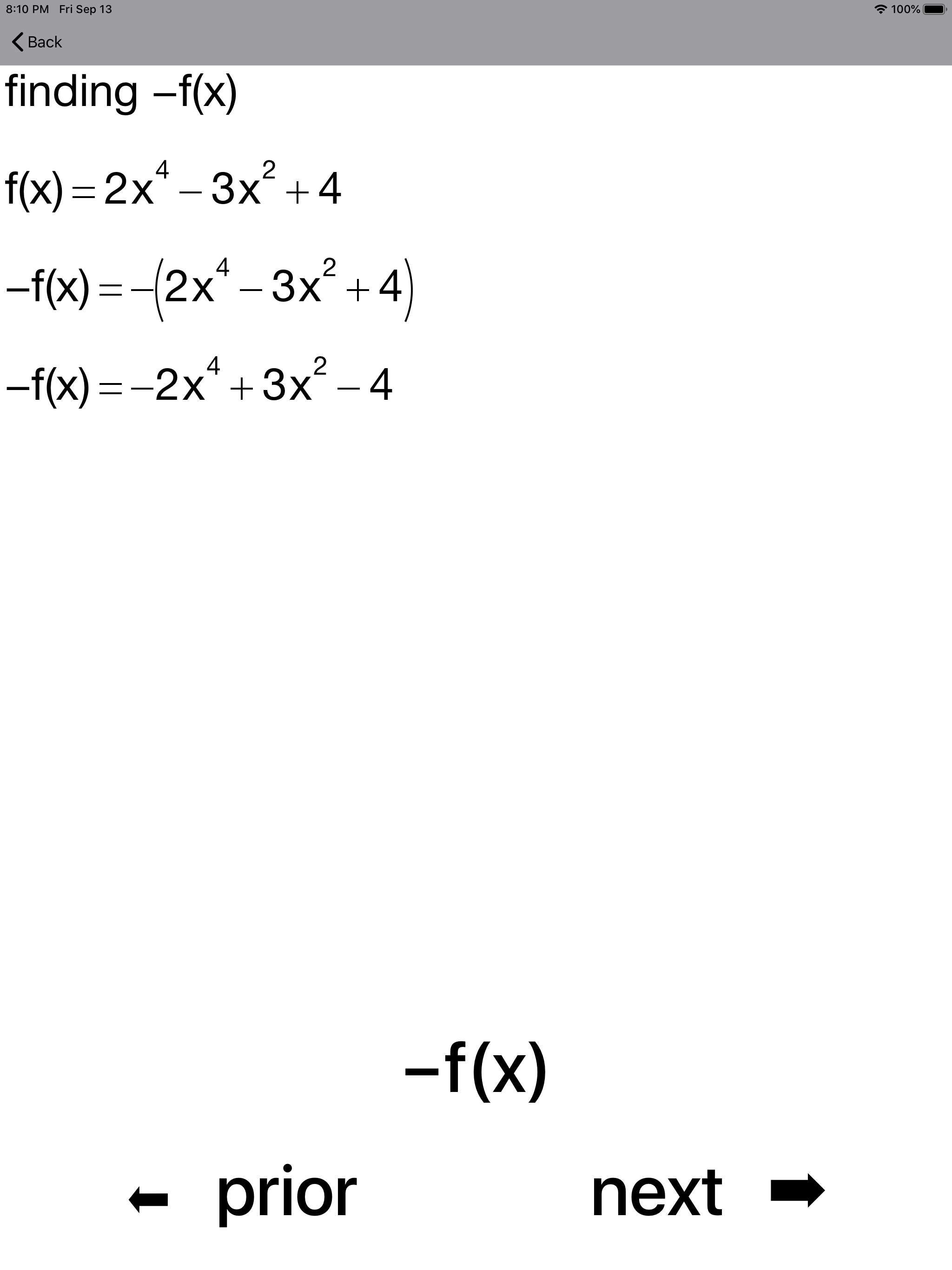
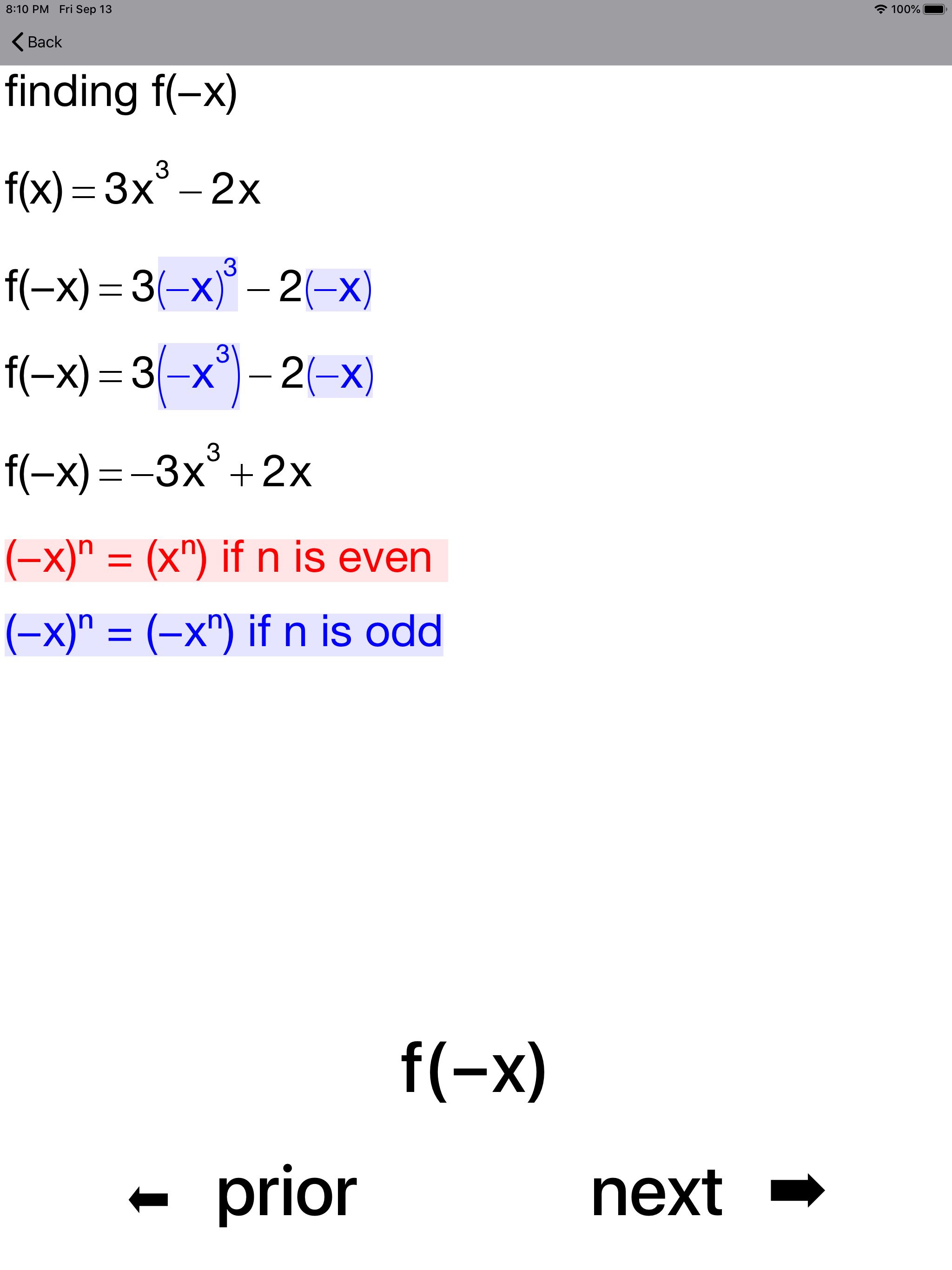
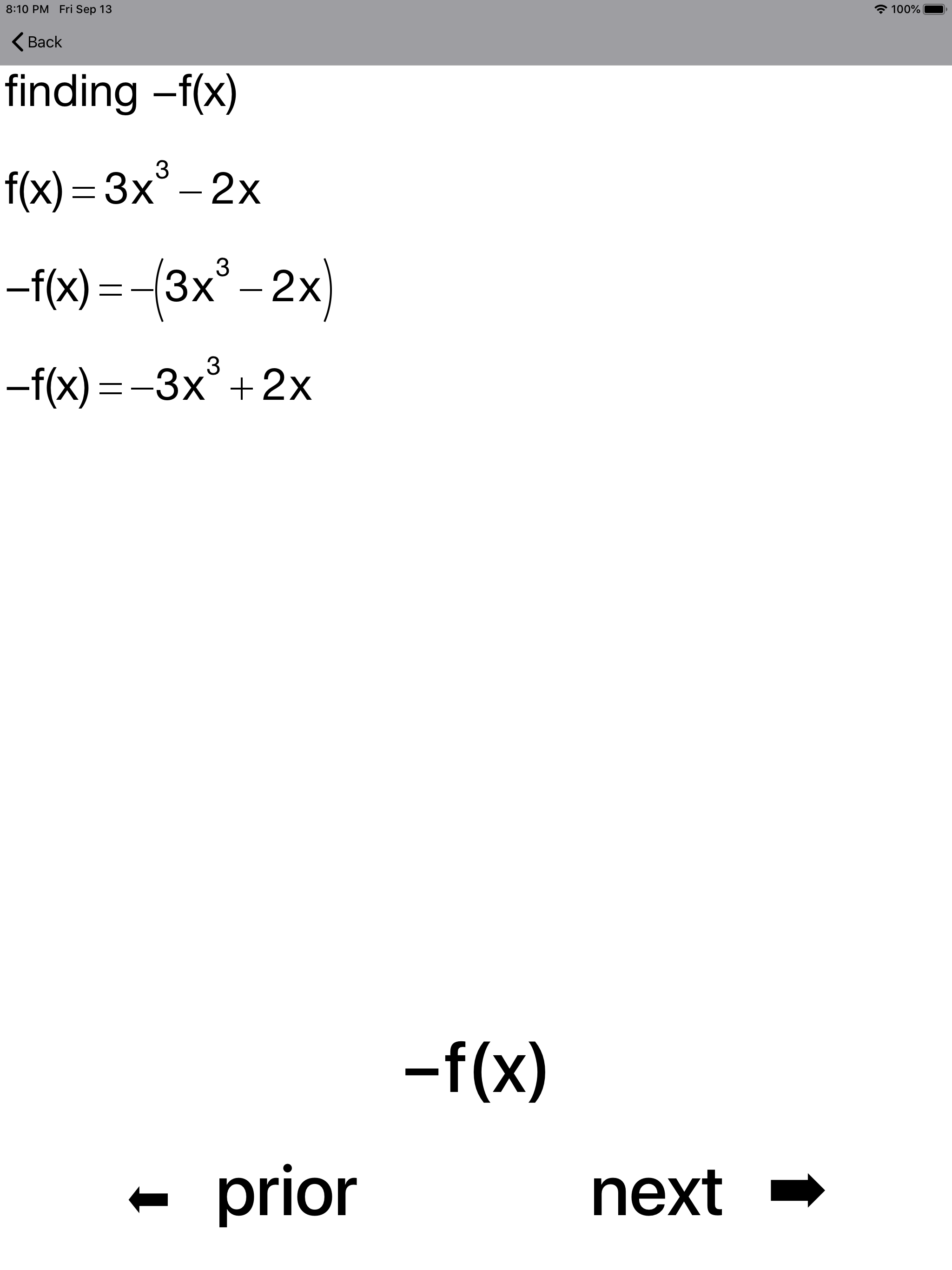
A powerful learning aid to help students prove algebraically whether a polynomial function is even, odd, both or neither. An interactive Coaching Calculator and Guide combine to speed the learning process. The Coaching Calculator covers functions such as : f(x) = 3x + 5 f(x) = 2x² - 2x + 8 f(x) = 7x³ - x f(x) = x⁴ - 3x³ + 9 The Guide additionally looks at the classification of polynomials by their degree along with examples. It's ideal for students as the menu design reinforces each problem solving step. Examples highlight and simplify algebra that students find hard.
